证明向量的范数

注意这里是向量的范数。

证明矩阵的范数

迹就是对角线元素之和。范数的“范”字的来源:https://zhuanlan.zhihu.com/p/107384905 ,还有比率和等比级数的两个被译错的词。范的意思是某种长度的度量。这些词的来源搞明白比较好。有的词不达意,影响理解。

数学不做题是不行的。

比起向量只是多了一个相容性这么一个性质。
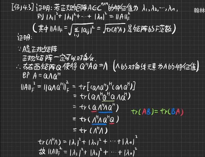
范数与正规矩阵的证明题

正交(英语:Orthogonality)是线性代数的概念,是垂直这一直观概念的推广。 作为一个形容词,只有在一个确定的内积空间中才有意义。 若内积空间中两向量的内积为 0,则称它们是正交的。
矩阵是运动的描述,正交矩阵是保持两点欧式距离不变的线性变换。

化简的步骤中: \((Q\Lambda Q^{H})^{H}=Q\Lambda^{H}Q^{H}\) ,这块不理解。共轭转置的运算法则不是很清楚。
共轭的意思是,矩阵中的每一个数字都变成它的共轭复数。共轭是按照一定规律相配的一对。
对于复矩阵而言共轭转置确实比单纯的转置更为常用, 其原因主要来自于对内积的需求先看 \(C^n\) 空间, \(x^Ty\) 是一个双线性形式, 不构成内积, 而 \(x^Hy\) 才构成内积. 进一步, 看线性算子的伴随, \(<y,Ax>=<A^*y,x>\) , 容易验证伴随算子的矩阵表示恰好是一个转置共轭. 这些都是由内积空间的公理自然决定的. 所以与几何相关的概念经常会采用共轭转置(比如酉阵, Hermite 阵, Hermite 型, QR 分解, 奇异值分解, 极分解, …)
在讨论纯粹的线性的代数性质而不是几何性质的时候单纯的转置就有用了,比如说研究映射 \(X \rightarrow AXB\) 的时候, 可以把 \(X\) 拉成向量, 然后这个线性映射就可以表示成 \(vec(X) -> vec(AXB) = T vec(X)\) 表示矩阵 \(T\) 可以写成 \(T = B^T o A\) , 这里 \(o\) 表示矩阵的 Kronecker 乘积. 这种情况下取共轭转置就不成立了, 因为破坏了线性性质。
计算的时候会用到的这几个公式:
\(A^{H}=\overline{(A^{H})}\)
\((A+B)^{H} = A^{H} + B^{H}\)
\((kA)^{H} = \overline{k}A^{H}\)
\((AB)^{H}=B^{H}A^{H}\)
\((A^{H})^{H}=A\)
如果 \(A\) 可逆,则 \((A^{H})^{-1}=(A^{-1})^{H}\)
我是我,我又不是我,我的身上有许多的基因没有表达,我是一个信息的阶段性载体。命运的齿轮不断向前转动,我的价值有一点奇怪。到底是什么呢?
一切的怕都是不自信,是他信力大于自信力的表现。人应该做到“他强任他强,清风拂山岗。他横任他横,明月照大江。”自信之人就应该有有阿斯伯格综合症。以自我为中心并没有什么错误,不要为了他人改变自己的特质和性格。
世上有很多强人,难道就因为他们强,你就不能追求自己喜欢的东西了吗?数学,物理,都挺难的。难道作为一个爱好来学习都不敢了吗?怕什么来什么,不怕什么,什么困难都将过去,失败也没什么大不了的。况且什么是失败呢?有的人一生下来就夭折了,你说你还不够强吗?
